Hai teman-teman, ketemu lagi di blog dilafazirawriting dengan materi pola bilangan. Sebelum itu, dilafazirawriting mau tanya dulu nih, kamu pernah nggak main kelereng, lalu kelereng-kelereng tersebut kamu susun menjadi bentuk segitiga atau persegi?
Atau saat ulang tahun kamu, kuenya (anggap saja bentuknya lingkaran) kamu bagi beberapa bagian sama banyak?
Nah, ternyata hal yang kamu lakukan itu dalam matematika disebut dengan pola bilangan.
Lalu, apa itu pola bilangan ?
Pola bilangan merupakan suatu susunan yang terdiri dari bilangan-bilangan teratur dan membentuk suatu pola tersendiri. Pola bilangan pada matematika dibagi dalam beberapa jenis, yaitu :
1. pola bilangan ganjil

Dari gambar di atas, pola ke 1, 2, dan 3 membentuk barisan segitiga sebanyak 1, 3, dan 5. Ini dinamakan pola bilangan ganjil. Pola bilangan ganjil merupakan pola bilangan yang terbentuk oleh bilangan ganjil, dengan rumus :
Un =2n – 1
Contoh : Pada pola ke-6 dan ke 15, berapa banyakkah segitiga yang terbentuk?
Jawab :

2. Pola Bilangan Genap

Pada gambar, barisan 2, 4, 6 dinamakan pola bilangan genap, dimana pada pola 1, 2, dan 3 terbentuk segitiga sebanyak 2, 4 dan 6.
Jadi, Pola bilangan genap merupakan pola bilangan yang terbentuk oleh bilangan genap, dengan rumus :
Un = 2n
Contoh : Tentukan berapa banyak segitiga yang terbentuk pada pola ke-4 dan ke-5!
Jawab :

3. Pola Bilangan Segitiga
Pola Bilangan segitiga merupakan pola bilangan yang jika digambar membentuk pola segitiga.

Dari gambar di atas, barisan 1, 3, 6 disebut dengan pola bilangan segitiga.
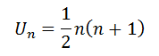
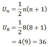
Rumus :

Contoh : Tentukan barisan suku ke-8 pada pola bilangan segitiga!

4. Pola Bilangan Persegi
Pola bilangan persegi merupakan suatu pola bilangan yang terbentuk oleh bilangan-bilangan hasil kuadrat dan jika digambar polanya membentuk suatu bentuk persegi. Gambar pola :

Rumus :

Contoh : Pada pola ke-4 dan ke-23, berapakah banyak lingkaran yang tersusun?

5. Pola Bilangan Persegi Panjang
Pola bilangan persegi panjang merupakan suatu pola bilangan yang terbentuk oleh bilangan yang jika digambar polanya membentuk suatu bentuk persegi panjang.

Rumus :

Contoh : Carilah banyak persegi pada suku ke-4 dan ke-12!

6. Pola Bilangan pada Segitiga Pascal
Teman-teman sudah tahu apa itu segitiga pascal?

Gambar di atas merupakan susunan bilangan pada segitiga pascal. Diberi nama segitiga pascal karena seorang ahli matematika dari Perancis yang bernama Blaise Pascal menemukan susunan bilangan. Bilangan tersebut terbentuk dari sebuah aturan geometri yang berisi susunan koefisien binomial yang bentuknya menyerupai segitiga. Di dalam segitiga pascal, bilangan yang terdapat pada satu baris yang sama dijumlahkan menghasilkan bilangan yang ada di baris bawahnya.

Jadi, dalam pola bilangan segitiga pascal, jumlah bilangan pada baris ke-n = ![]()
Misalnya, kita akan mencari jumlah bilangan pada baris ke-8, maka penyelesaiannya :

Nah, teman-teman itulah dia macam-macam pola bilangan dalam matematika. Jika teman-teman ingin bertanya, menambahkan atau memperbaiki, bisa tinggalkan di kolom komentar di bawah.
Terima kasih.
Sumber :
https://blog.ruangguru.com/matematika-kelas-8-smp-mencari-pola-bilangan
Pola Bilangan: Pengertian, Jenis, Rumus, Contoh Soal